Normal Distribution Table
The normal distribution table is used to locate defined values for the variable z.


We can help you find the best elementary math classes so you understand everything from the beginning.
Normal Distribution Exercises
If
is a random variable from a distribution
, find: 
In this case, we are working with a standard normal distribution. To solve it we will use the following formula:


Now, we need to locate in our normal distribution table the value when
, but we need the value for when
, so we use
, then we obtain
. Additionally, since the normal distribution is symmetric, we have
.

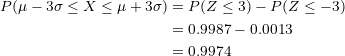
That is, approximately
of the values of
are within three standard deviations of the mean.
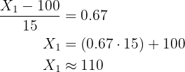
In a normal distribution with mean
and standard deviation
, calculate the value of a such that: 
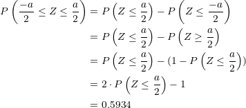
Using the formula
, we will substitute the value of the mean (
) and the standard deviation (
).

Simplifying, we obtain:

From which it follows that:

Now we locate in the normal distribution table the value
and observe that it corresponds to
, then:

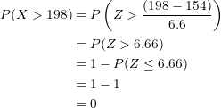
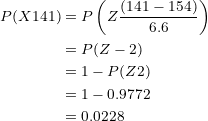
In a city, it is estimated that the maximum temperature in June follows a normal distribution, with mean
and standard deviation
. Calculate the number of days in the month when maximum temperatures between
and
are expected.
Using the formula
, we will substitute the value of the mean (
) and the standard deviation (
).

We look up the corresponding values in the normal distribution table:

Therefore:

This means that in the entire month, only
days will reach temperatures between
and
degrees Fahrenheit.
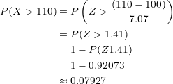
The mean weight of
students at a school is
and the standard deviation is
.
Assuming that weights are normally distributed, find how many students weigh:
1. Between
and
.
2. More than
.
3. Less than
.
4.
.
5.
or less.
1. Between
and
.
Substituting:

Locating the values in the normal distribution table and operating:

Therefore, if we multiply the probability
by the
students:

Of the
students,
weigh between
and
pounds.
2. More than
.
Substituting and simplifying:

Multiplying the probability by
:

It is impossible to find a single student weighing more than
pounds.
3. Less than
.
Substituting and simplifying:

Multiplying the probability by
:

There are
students who weigh less than
pounds.
4.
.
When the distribution is continuous, the probability that the variable has an exact value is always zero (
). Therefore:

5.
or less.
Given the previous results:
There are zero students who weigh exactly
pounds and there are
students who weigh less than
pounds, so there are
students who weigh
pounds or less.

Suppose that exam results follow a normal distribution with mean
and standard deviation
. Find:
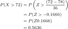
1. What is the probability that a person taking the exam obtains a grade higher than
?
2. Calculate the proportion of students who have scores that exceed by at least five points the score that marks the boundary between Pass and Fail (the
of students who obtained the lowest scores are declared Fail).
3. If it is known that a student's grade is greater than
, what is the probability that their grade is, in fact, greater than
?
1. What is the probability that a person taking the exam obtains a grade higher than
?
We substitute the values in the formula:

The probability that a person obtains a score greater than
on the exam is
.
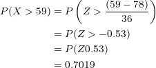
2. Calculate the proportion of students who have scores that exceed by at least five points the score that marks the boundary between Pass and Fail (the
of students who obtained the lowest scores are declared Fail).
Substituting values in the formula:

We locate the probability
in the normal distribution table, which is
, this means:

We solve for
:

We calculate for
:

The percentage of students who Pass and whose score is
units above the Fail boundary is
.
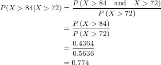
3. If it is known that a student's grade is greater than
, what is the probability that their grade is, in fact, greater than
?
We substitute:

From the first part of this exercise we know that the probability that a student obtains a score greater than
points on the exam is
.

Now we will use the conditional probability formula:

We substitute:

The probability that a student who obtained a score greater than
actually obtained a score greater than
is
.
After a general knowledge test, it is observed that the scores obtained follow a distribution
. We want to classify the examinees into three groups (low general knowledge, acceptable general knowledge, excellent general knowledge) so that there is
of the population in the first,
in the second, and
in the third.
What should be the scores that mark the passage from one group to another?
Â

We locate in our table the parameter corresponding to probability 0.2, (20%), which is
:

So, if
, then:

Now we locate in the table the parameter for probability
, which is
, which means:

So, if
, then:

Low knowledge: up to
points.
Acceptable knowledge: between
and
.
Excellent knowledge: from
points onward.
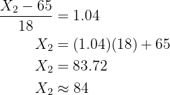
Several intelligence tests gave a score that follows a normal distribution with mean
and standard deviation
.
1. Determine the percentage of the population that would obtain a coefficient between
and
.
2. What interval centered on
contains
of the population?
3. In a population of
individuals, how many individuals are expected to have a coefficient greater than
?
1. Determine the percentage of the population that would obtain a coefficient between
and
.
Substituting values in the formula:

The percentage of the population that will obtain a score between
and
is
.
2. What interval centered on
contains
of the population?
Since we want to take the
from the center of the population, we take the interval that is between
and
.
We locate in the table the parameter for probabilities
and
:

We substitute and solve:

and

Therefore, the interval is:
.
The centered interval that contains
of the population will obtain a score between
and
.
3. In a population of
individuals, how many individuals are expected to have a coefficient greater than
?
We substitute values in the formula, calculate the parameter, and locate the probability in the table:

Multiplying this probability by the
individuals:

In a population of
individuals, it is expected that
of them have a coefficient greater than
.
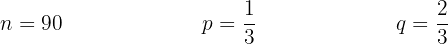
In a city, one out of every three families owns a telephone. If
families are chosen at random, calculate the probability that among them there are at least
with a telephone.

Where:
n: Number of families to choose.
p: Probability of selecting a family that has a telephone.
q: Complement of the probability.
To solve this type of exercise we will use the De Moivre-Laplace Theorem for Probability:
If
is a binomial random variable with parameters
and
,
, then
can be approximated to a normal distribution with mean
and standard deviation
(where
) if the following two conditions are met:
Condition 1: 
Condition 2: 
Then, the binomial variable
would be approximated by the normal variable
.
Since
, condition 1 is met.

Therefore, condition 2 is met.
Then we use the formula
.
We substitute the data:

Now we use the normal distribution formula:

We substitute, operate, and locate the probability value in our normal distribution table:

When selecting
families at random, there is a probability of
of having selected at least
families with a telephone.
On a multiple-choice test exam with
questions, each question has one correct answer and one incorrect answer. You pass if you answer more than
correct answers. Assuming you answer at random, calculate the probability of passing the exam.
We use the De Moivre-Laplace Theorem for Probability:
We check the 2 conditions:
First condition:

Second condition:

Since both conditions are met, we will use the formula:

We substitute:

Now we will use
:

When answering a multiple-choice test exam at random, there is a probability of
of passing.
A study has shown that, in a certain neighborhood,
of households have at least two televisions. A sample of
households is randomly chosen in said neighborhood. Find:
1. What is the probability that at least
of the cited households have at least two televisions?
2. What is the probability that between
and
households have at least two televisions?
1. What is the probability that at least
of the cited households have at least two televisions?
We use the De Moivre-Laplace Theorem for Probability, checking if the 2 conditions are met:

Since both conditions are met, we will use the formula
.
We substitute:

Now we will use
.
We substitute:

2. What is the probability that between
and
households have at least two televisions?
Using the formula
, we will substitute the value of the mean
and the standard deviation
:

The probability that between
and
households have at least
televisions is
.
Are you feeling lost and need reinforcement? Don't worry, we can help you with middle school and high school math classes and homework.
Find the best math course from all those we offer at Superprof. You can learn with either an online math teacher or an in-person one. You decide!
Summarize with AI:








