Recall that an inequality is an algebraic inequality, that is, it is an algebraic expression separated by the sign
(less than),
(greater than),
(less than or equal to) or
(greater than or equal to).
In this case we will analyze quadratic or second-degree inequalities of the form
with
and
real numbers and 
Procedure for Solving a Quadratic Inequality
We will proceed to solve the quadratic inequality
considering the following series of steps.
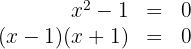
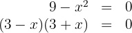
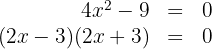
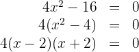
1Set the first member equal to zero and calculate the roots of the associated quadratic equation
In this case, the most immediate method is factorization:
We set each factor equal to zero and obtain the roots:
Note: This first step, obtaining the roots of the associated quadratic equation, is also known as obtaining the critical values of the inequality.
2Represent these values on the real line
The real line is divided into three intervals from the values
and
:
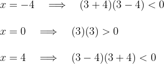
and
.
A point is taken from each interval and evaluated in the quadratic inequality to know the sign of each interval. For example, the triad of values 

Note: In case the inequality is represented by the signs less than or equal to, or greater than or equal to, the endpoint intervals should be
and
that is, they must include the endpoints of the intervals, becoming closed or semi-closed intervals.
3Analysis of the sign of the values and the quadratic expression
The solution is composed of those intervals that have the same sign as the quadratic expression. In this case, the expression is positive because the inequality reads "the algebraic expression is greater than zero."

Therefore, the solution of the quadratic inequality is the set of intervals 
Special Cases in Solving Quadratic Inequalities
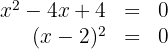
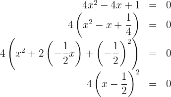
An Inequality Formed by a Squared Binomial
Next, the inequality
will be analyzed.
Applying the factorization method we obtain:
Since any real number squared is always positive, whenever a positive inequality associated with the sign
corresponds to a squared binomial, its solution will be the entire real line:
.
In case the inequality is related to other inequality signs, the solutions follow from the following table:
An Inequality Without Critical Points
The inequality
will be analyzed.
Its associated quadratic equation is 
One way to know how many solutions a quadratic equation has is by calculating the discriminant 
1. If this value is positive, the equation will have two roots
2. If this value is zero, it will have only one root
3. If this value is negative, it will have no solution.
We calculate the discriminant using
:
Then the inequality has no critical points and, therefore, the number line is not divided.
Because of this, the inequality can have as a solution all real numbers or no solution; if the sign of the quadratic term does not coincide with that of the inequality, it has no solution.
Quadratic Inequality Exercises

1. Obtain the critical values of the inequality
To do this we set equal to zero and factor:

Setting the factors equal to zero, we obtain the roots 
2. Represent the critical values on the number line
Since the roots are
and
, the real line is divided into the intervals
and 
Taking the values
and
we evaluate them in the inequality:


Since the quadratic expression is negative, the solution is the interval 
1. Obtain the critical values of the inequality
To do this we set equal to zero and factor:

Setting the factors equal to zero, we obtain the roots 
2. Represent the critical values on the number line
Since the roots are
and
, the real line is divided into the intervals
and 
Taking the values
and
we evaluate them in the inequality:


Since the quadratic expression is negative, the solution is the interval 

1. Obtain the critical values of the inequality
To do this we set equal to zero and factor:

Setting the factors equal to zero, we obtain the roots 
2. Represent the critical values on the number line
Since the roots are
and
, the real line is divided into the intervals
and 
Taking the values
and
we evaluate them in the inequality:


Since the quadratic expression is positive, the solution is the interval 

1. Obtain the critical values of the inequality
To do this we set equal to zero and factor:

Setting the factors equal to zero, we obtain the roots 
2. Represent the critical values on the number line
Since the roots are
and
, the real line is divided into the intervals
and 
Taking the values
and
we evaluate them in the inequality:


Since the quadratic expression is negative, the solution is the interval 

1. Obtain the critical values of the inequality
Since it cannot be factored as the product of two binomials, we calculate the value of the discriminant:

2. Since the discriminant is negative, the inequality either has no solutions or all real numbers are solutions.
Since the sign of the quadratic term coincides with that of the inequality (negative-less than), the solution of the inequality is all real numbers 

1. Obtain the critical values of the inequality
To do this we set equal to zero and factor:

Setting the factor equal to zero we obtain 
2. Represent the critical values on the number line
Since the root is
we divide into the intervals 
Taking the values
and
we evaluate them in the inequality:


Since the quadratic expression is always positive or zero, the inequality has no solution.

1. Obtain the critical values of the inequality
To do this we set equal to zero and factor:

Setting the factor equal to zero we obtain 
2. Represent the critical values on the number line
Since the root is
we divide into the intervals 
Taking the values
and
we evaluate them in the inequality:


Since the quadratic expression is always positive or zero, the inequality has as a solution 

1. Obtain the critical values of the inequality
To do this we set equal to zero and factor:

Setting the factor equal to zero we obtain 
2. Represent the critical values on the number line
Since the root is
we divide into the intervals 
Taking the values
and
we evaluate them in the inequality:


Since the quadratic expression is always positive or zero, the inequality has as a solution all real numbers 

1. Obtain the critical values of the inequality
To do this we set equal to zero and factor:

Setting the factors equal to zero, we obtain the roots 
2. Represent the critical values on the number line
Since the roots are
and
, the real line is divided into the intervals
and 
Taking the values
and
we evaluate them in the inequality:

![]()
Since the quadratic expression is negative, the solution is the interval 

1. Obtain the critical values of the inequality
Since it cannot be factored as the product of two binomials, we calculate the value of the discriminant:

2. Since the discriminant is negative, the inequality either has no solutions or all real numbers are solutions.
Since the sign of the quadratic term coincides with that of the inequality (negative-less than), the solution of the inequality is all real numbers 

1. Obtain the critical values of the inequality
To do this we set equal to zero and factor:

Setting the factors equal to zero, we obtain the roots
. These roots are solutions (since when substituted in the inequality the equality holds).
2. Represent the critical values on the number line
Since the roots are
and , the real line is divided into the intervals
and 
Taking the values
and
we evaluate them in the inequality:

![]()
Since the quadratic expression is positive, the solution of the inequality is the union of two intervals: 

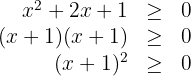
1. Obtain the critical values of the inequality
To do this we set equal to zero and factor:

Setting the factor equal to zero, we obtain the root 
2. Since the squared binomial is negative and the sign is less than or equal to, the inequality has a single solution: 

1. Obtain the critical values of the inequality
To do this we set equal to zero and factor:

Setting the factors equal to zero we obtain the roots
. These roots are solutions (since when substituted in the inequality the equality holds).
2. Represent the critical values on the number line
Since the roots are
and
, the real line is divided into the intervals
and 
Taking the values
and
we substitute them in the inequality:


Since the quadratic expression is positive, the solution is the union of the intervals
and the critical values. Thus, the solution is 

1. Obtain the critical values of the inequality
To do this we set equal to zero and factor:

Setting the factors equal to zero we obtain the roots
.
2. Represent the critical values on the number line
Since the roots are
, the real line is divided into the intervals
and 
Taking the values
and
we substitute them in the inequality:

![]()
Since the quadratic expression is negative, the solution is the union of the intervals 

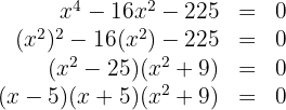
1. Obtain the critical values of the inequality
To do this we set equal to zero and factor:

Since the binomial
is always greater than zero for any value of
, only the linear binomials are considered to calculate the critical values. Thus,
are the roots sought. These roots are solutions (since when substituted in the inequality the equality holds).
2. Represent the critical values on the number line
Since the roots are
, the real line is divided into the intervals
and 
Taking the values
and
we substitute in the inequality:

![]()
Since the quadratic expression is positive or zero, the solution is the union of the intervals and the critical values, that is, 
Summarize with AI:








