Chapters
Systems of equations with two variables are a fundamental tool in mathematics, used in various areas such as economics, physics, and engineering. These systems consist of two linear equations that must be solved simultaneously to find the value of the two unknowns. Solving a 2x2 system of equations allows us to determine intersection points on a Cartesian plane, providing solutions that can be unique, infinite, or nonexistent.
Solution by Substitution and Graphical Method
Solve the following system using the substitution method
Â

The substitution method involves isolating one of the two variables from one equation and substituting it into the other. We will isolate
from the second equation:

Note that we chose the second equation since it equals 0; this makes the procedure slightly simpler. Now we substitute the value of
into the first equation

Therefore,
. Then, we substitute the value of
into the expression we have for
:

Therefore, the solution is
.
Solve the following system using the substitution method
Â

An advantage of the substitution method is that it is not necessary to simplify the system of equations to start solving. Therefore, we can start solving immediately.
First, we isolate
from the second equation:

Then, we substitute the value of
into the first equation:

From here, it follows that
. Now, we substitute the value of
into the expression we had for
:

Therefore, the solution to the system is
and
.
Solve the following system using the substitution method
Â

First we isolate
from the second equation

Then, we substitute the value of
into the first equation:

Therefore, the first equation becomes (by moving constants to the right side and variables to the left side)

which, by isolating
, we obtain

Then, substituting the value of
into the expression we have for
, we obtain

Therefore, the solution is
and 
Solve the following system using the substitution method
Â

To solve this system, we must first eliminate the fractions (clear the denominators). To do this, we multiply the equations by the least common multiple of the denominators. For the first equation we have:

so
. While for the second equation we have:

from which we obtain
. Thus, the system of equations becomes:

First we isolate
from the second equation:

Then, we substitute the value of
into the first equation:

so that
or
. Then, we substitute the value of
into the expression we had for
:

Therefore, the solution is
and
.
Solve the following system using the graphical method
Â

The graphical method involves only graphing the two lines. The intersection will be the solution of the system:
Â

Â
From the graph above we can observe that the solution is
and
. However, let's remember that we must be very precise when graphing.
Solution by Equalization
Let's recall that the equalization method can only be used to solve a system of 2 equations with 2 variables. Only this method and the graphical method are limited to
systems.

To solve the system by equalization we must isolate a variable from both equations. We isolate
from both equations:

from which we obtain
.
For the second equation we have

therefore
and
.
Now, we equate both equations

From that equation we isolate
:

so
. Then, we substitute the value of
into the first equation

so
. Therefore, the solution is
and
.

As in the previous case, to solve by equalization we must isolate some variable from both equations. In this case we will isolate
. In the first equation we obtain:

While for the second equation we obtain:

Equating the equations, we have

so

so
. Then, substituting
into the first equation, we have

so
. Thus, the solution is
and
.

As in the previous case, to solve by equalization we must isolate some variable from both equations. In this case we will isolate
. In the first equation we obtain:

While for the second equation we obtain:

Equating the equations, we have

so

so
. Then, substituting
into the second equation, we have
so
.
Thus, the solution is
and
.

Before applying the equalization method, we must write the system in a way that allows us to isolate one of the variables. To do this, we multiply both equations by 2:

We isolate the variable y in both equations:

Equating the equations, we have

so

so
. Then, substituting
into the first equation, we have
so
.
Thus, the solution is
and
.

First we isolate
from both equations

Equating the equations, we have

so

so
. Then, substituting
into the second equation, we have
so
.
Thus, the solution is
and
.
Solution by Elimination
Let's recall that in the elimination method we must eliminate the
from all equations, except the first. Then we must eliminate the
from all equations, except the first and second equation.
This method is the same as Gaussian elimination, with the only difference that we don't use the matrix associated with the system.

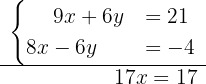
We need to eliminate the
from the second equation. To do this, we multiply the first equation by
and then subtract the result from the second equation:

Now, from the second equation we subtract the previous equation:

From here it follows that
. Then, we substitute the value of
into the first equation:

Therefore
.

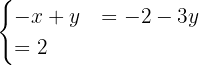
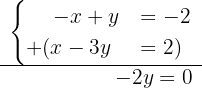
Before applying the elimination method, we must write the system so that the independent terms are on the right side. To do this, we multiply both equations by 2:

Then, we move the variables to the left side of the equations:

Now, to the second equation we add the first:

From here it follows that
. Then, we substitute the value of
into the first equation:

Therefore, the solution is
and
.

We multiply the first equation by
and the second by 2


Now, we add both equations

From here it follows that
. Then, we substitute the value of
into the first equation:

Therefore
.

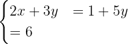
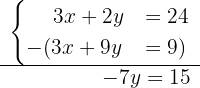
Before applying the elimination method, we must write the system so that the independent terms are on the right side. To do this, we multiply the first equation by 4 and isolate

Now, to the second equation we add the first:

From here it follows that
. Then, we substitute the value of
into the second equation:

Therefore, the solution is
and
.

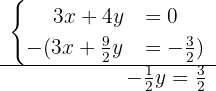
Before applying the elimination method, we must write the system so that the independent terms are on the right side. To do this, we multiply both equations by 6 and 9 respectively

Now, from the first equation we subtract the second:

From here it follows that
. Then, we substitute the value of
into the second equation:

Therefore, the solution is
and
.
Summarize with AI:








