Finding the Equation of the Ellipse
Find the equation of the locus of points
whose sum of distances to the fixed points
and
equals
.
We want the sum of distances
and
to always equal
, that is,
Therefore, we have:
If we isolate one radical, we obtain:
Then, squaring both sides, we have:
Notice that the term
appears on both sides of the equation. Therefore, we can cancel it, so we have:
If we expand the two squared binomials, we will have:
Then, regrouping like terms—and dividing the equation by
—we have:
We have eliminated one radical. To eliminate the other we repeat the procedure. We square the expression, expand the squared binomials, and regroup terms:
that is,
Find the equation of the ellipse with a focus of
, vertex of
, and center of
.
We know that the semi-major axis is the distance between the center
and the vertex
, that is,

Likewise, the semi-focal distance is the distance between the center
and the focus
of the ellipse—which is half the distance between the two foci—that is,

Finally, the semi-minor axis is calculated by:

Thus, the reduced equation of the ellipse is given by:

Find the equation of the ellipse knowing that:
a) 
b) 
c) 
d) 
a) 
We will describe the first part in detail. The others will be more summarized.
We know that the semi-major axis is the distance between the center
and the vertex
, that is,

Likewise, the semi-focal distance is the distance between the center
and the focus
of the ellipse—which is half the distance between the two foci—that is,

Finally, the semi-minor axis is calculated by:

Thus, the reduced equation of the ellipse is given by:

b) 
We have:

Therefore, the semi-minor axis is given by:

Thus, the reduced equation of the ellipse is:

Notice that, in this case, we divide
by
instead of
. This is because the major axis is vertical (note that
,
, and
all have the same value in their
coordinate).
c) 
Notice that the
coordinates of the three points are the same. Therefore, the major axis is vertical. Thus, we have:

Therefore, the semi-minor axis is given by:

Thus, the reduced equation of the ellipse is:

d) 
Notice now that the
coordinates are fixed at each point. Thus, the major axis of the ellipse will be horizontal. So, we have:

Furthermore,

Therefore, the reduced equation will be:

Determine the reduced equation of an ellipse knowing that the major axis is horizontal, one of the foci is
units from one vertex and
from the other, and whose center is at the origin.
Observe the graph below:

We know that the focal distance must be
. Thus, the semi-focal distance is:

which is the distance from the center to any focus. Thus, the distance between the center and the vertex is:

With this, we have:

Therefore, the equation of the ellipse is:

Find the reduced equation of an ellipse knowing that it passes through the point
, has its center at the origin, the major axis is horizontal, and its eccentricity is
.
The equation of the ellipse must have the form:

because it has its center at the origin. Furthermore, we have that the ellipse passes through the point
. Thus, it must satisfy:

If we solve for
, we have
. Then, since
is greater than
, it follows that:

Furthermore, in the eccentricity formula it must be satisfied that:

If we square the equation, it follows that:

We multiply the equation by
, and then by
to obtain:

By grouping like terms, we obtain:

That is,
. Therefore, the equation of the ellipse is:

Write the reduced equation of the ellipse with a center at the origin, passing through the point
, and whose minor axis measures
and is vertical.
Since the ellipse has its center at the origin, then its equation must have the form:

Furthermore, since the minor axis measures
, then the semi-minor axis is:

Then, since the ellipse passes through the point
, it must satisfy the equation:

Solving for
we have:

So that:

Thus, the equation of the ellipse is:

The focal distance of an ellipse with a center at the origin is
and the foci are on the x-axis. A point on the ellipse is at distances
and
from its foci, respectively. Calculate the reduced equation of this ellipse.
We have that the focal distance is
. Therefore, the semi-focal distance is:

Likewise, the sum of the distances from any point to the foci is always constant. This distance coincides with the major axis, so:

Finally, the semi-minor axis measures:

Therefore, the equation of the ellipse is:

Write the equation of the ellipse with a center at the origin, foci on the x-axis, and passing through the points
and
.
Since the ellipse passes through both points, it must satisfy the following system of equations:

This is a nonlinear system with two unknowns. In this case, we use a change of variable:

The solution to this system is:

To verify this, you can substitute the values of
and
into the original nonlinear system.
Therefore, the equation of the ellipse is:

Determine the equation of the ellipse with a center at the origin, whose focal distance is
, foci on the x-axis, and the area of the rectangle constructed on the axes is
.
The focal distance is
. Therefore, we have:

Likewise, the semi-minor and semi-major axes satisfy—the relationship that
,
, and
always fulfill:

On the other hand, we have a rectangle whose sides measure
and
. This rectangle has an area given by:

Therefore, we must solve the following nonlinear system of equations:

This nonlinear system can be solved by solving for
from the second equation and substituting its value into the first equation. This yields a biquadratic equation. The solution to the system is given by:

Therefore, the equation of the ellipse is:

Find the equation of the ellipse with a focus of
, co-vertex of
, and center of
.
We know that the semi-minor axis is the distance between the center
and the co-vertex
, that is,

Likewise, the semi-focal distance is the distance between the center
and the focus
of the ellipse—which is half the distance between the two foci—that is,

Finally, the semi-major axis is calculated by:

Thus, the reduced equation of the ellipse is given by:

Finding Elements from the Equation
Find the characteristic elements and the reduced equation of the ellipse with foci:
and
, and whose major axis measures
.

Semi-major axis:
We have
, therefore, the semi-major axis is
.
Semi-focal distance:
Here we have that the distance between the two foci is
. Therefore, the semi-focal distance is
.
Semi-minor axis:
We have
where
is the semi-minor axis. Thus,
So, the semi-minor axis measures
.
Reduced equation:
Since we have the values of
and
, as well as the center—which is the midpoint of the foci, that is
—then the reduced equation is given by:

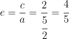
Eccentricity:
Finally, the eccentricity of the ellipse is given by:

Given the reduced equation of the ellipse
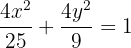
, find the coordinates of the vertices, co-vertices, foci, and eccentricity.
From the form of the equation, we can tell that the ellipse has its center at the origin. Furthermore, we have:

Thus the vertices have coordinates:

since the major axis lies on the
-axis. The co-vertices are located at:

Likewise, we have that the semi-focal distance is:

Thus, the foci are located at:

Finally, the eccentricity is found by:

Given the ellipse with equation
, find its center, semi-axes, vertices, co-vertices, and foci.
From the equation it immediately follows that the center is at
. Likewise, the semi-minor and semi-major axes are:

Therefore,

Thus, the vertices are located at
, that is:

Likewise, the foci are located at:

The co-vertices are located at the points:

Graph and determine the coordinates of the foci, vertices, co-vertices, and eccentricity of the following ellipses.
a) 
b) 
c) 
d) 
a) 
The center is at the origin. The semi-minor and semi-major axes are:

Thus, the vertices are located at:

The co-vertices are located at the points:

The semi-focal distance is:

So the foci are located at:

Finally, the eccentricity is:


b) 
First we must write the equation in reduced form, so we divide by
:

Then, from the equation it follows that the center is at the origin
, and that:

So the vertices are located at:

and the co-vertices are located at:

Furthermore, the semi-focal distance is:

Thus, the foci are located at:

Finally, the eccentricity is given by:


c) 
The equation is already in reduced form. From this equation we can see that the center is at
. Furthermore, the semi-minor and semi-major axes are given by:

The semi-focal distance is given by:

Notice that the major axis lies on the
-axis. Thus, the vertices are located at:

The co-vertices are located at:

And the foci are the points:

Finally, the eccentricity is given by:


d) 
Finally, we have an equation that is not in reduced form. We first divide by
to obtain:

From the equation we have:


Furthermore, notice that the major axis lies on the
-axis. Thus, the vertices are located at:

The co-vertices are the points:

And the foci are located at:

Finally, the eccentricity is:


Graph and determine the coordinates of the foci, vertices, and co-vertices of the following ellipses.
a) 
b) 
c) 
d) 
a) 
To determine the important points of the ellipse, we must write its equation in reduced form. The way to do this is by completing the square:


Then, we divide by
:

Thus, it is clear to see that the center is at
. Furthermore, we can see that:


Likewise, the major axis is horizontal, so the vertices are located at:

The co-vertices are located at:

And the foci are located at:


b) 
We complete the square again:


Then, we divide by
:

Thus, it is clear to see that the center is at
. Furthermore, we can see that:


Likewise, the major axis is vertical, so the vertices are located at:

The co-vertices are located at:

And the foci are located at:


c) 
We complete the square again:


Then, we divide by
:

Thus, it is clear to see that the center is at
. Furthermore, we can see that:


Likewise, the major axis is horizontal, so the vertices are located at:

The co-vertices are located at:

And the foci are located at:


d) 
We complete the square again:


Then, we divide by
:

Thus, it is clear to see that the center is at
. Furthermore, we can see that:


Likewise, the major axis is vertical, so the vertices are located at:

The co-vertices are located at:

And the foci are located at:


Find the coordinates of the midpoint of the chord that the line
intercepts with the ellipse whose equation is
.
First observe the graph of the line and the ellipse:

From the figure we can deduce that we must find the coordinates of points
and
. Then,
will be the midpoint of these two.
Finding the coordinates of
and
is equivalent to solving the nonlinear system of equations given by:

This system is also solved by substitution. The solutions are given by:

Therefore, the midpoint of the chord is given by:

Find the characteristic elements and the reduced equation of the ellipse with foci:
and
, and whose minor axis measures
.
Semi-minor axis:
We have
, therefore, the semi-minor axis is
.
Semi-focal distance:
Here we have that the distance between the two foci is
. Therefore, the semi-focal distance is
.
Semi-major axis:
We have
where
is the semi-major axis. Thus,

So, the semi-major axis measures
.
Reduced equation:
Since we have the values of
and
, as well as the center—which is the midpoint of the foci, that is
—then the reduced equation is given by:

Eccentricity:
Finally, the eccentricity of the ellipse is given by:

Find the characteristic elements and the reduced equation of the ellipse with foci:
and
, and co-vertex
.
Semi-minor axis:
We have that the center is
, the midpoint of the foci, therefore, the semi-minor axis is
.
Semi-focal distance:
Here we have that the distance between the two foci is
. Therefore, the semi-focal distance is
.
Semi-major axis:
We have
where
is the semi-major axis. Thus,

So, the semi-major axis measures
.
Reduced equation:
Since we have the values of
and
, as well as the center—which is the midpoint of the foci, that is
—, then the reduced equation is given by:

Eccentricity:
Finally, the eccentricity of the ellipse is given by:

Find the characteristic elements and the reduced equation of the ellipse with foci:
and
, and vertex
.
Semi-major axis:
We have that the center is
, the midpoint of the foci, therefore, the semi-major axis is
.
Semi-focal distance:
Here we have that the distance between the two foci is
. Therefore, the semi-focal distance is
.
Semi-minor axis:
We have
where
is the semi-minor axis. Thus,

So, the semi-minor axis measures
.
Reduced equation:
Since we have the values of
and
, as well as the center—which is the midpoint of the foci, that is
—, then the reduced equation is given by:

Eccentricity:
Finally, the eccentricity of the ellipse is given by:

Find the characteristic elements and the reduced equation of the ellipse with focus
, center
, and vertex
.
Semi-major axis:
We have that the center is
, therefore, the semi-major axis is
.
Semi-focal distance:
Here we have that the distance from the center to the focus is
.
Semi-minor axis:
We have
where
is the semi-minor axis. Thus,

So, the semi-minor axis measures
.
Reduced equation:
Since we have the values of
and
, as well as the center, then the reduced equation is given by:

Eccentricity:
Finally, the eccentricity of the ellipse is given by:

Summarize with AI:








