Describe the sample space obtained when tossing two coins.
When tossing a coin, it can land on heads
or tails
. For the case where two coins are tossed, the sample space that can be obtained is:

Describe the sample space obtained when rolling two dice.
When rolling a die, the values
can appear. For the case where two dice are rolled, the sample space that can be obtained is:

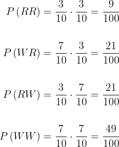
Two balls are drawn from a bowl containing one white ball, one red ball, one green ball, and one black ball. Describe the sample space when:
1. The first ball is returned to the bowl before drawing the second.
2. The first ball is not returned.
1. The first ball is returned to the bowl before drawing the second.

2. The first ball is not returned.

Let
and
be two random events with:

Find:
1 
2 
3 
4 
5 
6 
7 
1 
The events are compatible because the intersection is not empty,
, since their probability is not zero. Therefore:

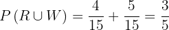
2 
The probability of
is equal to
(total probability) minus the probability of event
:

3 
The probability of
is equal to
(total probability) minus the probability of event
:

4 
Applying De Morgan's laws we obtain:

Furthermore, the probability of
is equal to
(total probability) minus the probability of event
, therefore:

5 
Note that
. Applying the probability of the difference of events we have:

6 
Applying De Morgan's laws we obtain:

Furthermore, the probability of
is equal to
(total probability) minus the probability of event
, therefore:

7 
Note that
. Applying the probability of the difference of events we have:

Given the following events and their probabilities:

Find:
1 
2 
3 
4 
1 
The probability of
is equal to
(total probability) minus the probability of event
:

2 
Recall that
, therefore, if we solve for
we obtain:

3 
Note that
. Applying the probability of the difference of events we have:

4 
Note that
. Applying the probability of the difference of events we have:

A bowl contains eight red balls, five yellow balls, and seven green balls. If a ball is drawn at random, calculate the probability that:
1. It is red.
2. It is green.
3. It is yellow.
4. It is not red.
5. It is not yellow.
1 It is red.
-
- Favorable cases:
.
- Favorable cases:
-
- Possible cases:
.
- Possible cases:
Therefore, the probability is:

2 It is green:
-
- Favorable cases:
.
- Favorable cases:
-
- Possible cases:
.
- Possible cases:
Therefore, the probability is:

3 It is yellow.
-
-
-
- Favorable cases:
.
- Favorable cases:
-
-
-
- Possible cases:
.
- Possible cases:
Therefore, the probability is:

4 It's not red.
-
- Favorable cases:
.
- Favorable cases:
-
- Possible cases:
.
- Possible cases:
Therefore, the probability is:

5 It's not yellow.
-
- Favorable cases:
.
- Favorable cases:
-
- Possible cases:
.
- Possible cases:
Therefore, the probability is:

A bowl contains three red balls and seven white balls. Two balls are drawn at random. Write the sample space and find the probability of the events:
1. With replacement (draw the first ball and put it back before drawing the second).
2. Without replacement (draw the first ball and do not return it, draw the second from the remaining).
1. With replacement (draw the first ball and put it back before drawing the second).
The sample space is given by:

Drawing two balls with replacement are independent events, since drawing the first ball has no effect on the second, therefore:

2. Without replacement (draw the first ball and do not return it, draw the second from the remaining).
The sample space is given by:

Drawing two balls without replacement are dependent events; drawing the first ball affects drawing the second, therefore:

A ball is drawn from a bowl containing four red balls, five white balls, and six black balls.
1. What is the probability that the ball is red or white?
2. What is the probability that it is not white?
1. What is the probability that the ball is red or white?
Drawing two balls of different colors are mutually exclusive events, meaning that their intersection is the empty set. Therefore:

2. What is the probability that it is not white?
Recall that the probability of event
is equal to
minus the probability of event
, thus:

A class has
students includes
blonde women,
brunette women,
blonde men, and
brunette men. Find the probability that a student:
1. Is male.
2. Is a brunette woman.
3. Is male or female.
1 Is male.
-
-
- Favorable cases:
.
- Favorable cases:
-
-
- Possible cases:
.
- Possible cases:

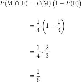
2 Is a brunette woman.
-
- Favorable cases:
.
- Favorable cases:
-
- Possible cases:
.
- Possible cases:

3 Is male or female.
-
-
- Favorable cases:
.
- Favorable cases:
-
-
- Possible cases:
.
- Possible cases:

A die is loaded so that the probabilities of obtaining the different faces are proportional to their numbers. Find:
1. The probability of obtaining a 6 in one roll.
2. The probability of getting an odd number in one roll.
1. The probability of obtaining a 6 in one roll.
Let's call
the probability. Since it is proportional to the numbers on the die, we will have:
. Furthermore, their sum satisfies:

Solving for
we obtain:

Therefore,
is:

2. The probability of getting an odd number in one roll.
The odd numbers would be
, and
, therefore the probability is given by:

Two dice are rolled and the sum of the points obtained is recorded. Find:
1. The probability that the sum is
.
2. The probability that the number obtained is even.
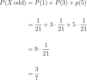
3. The probability that the number obtained is a multiple of three.
1. The probability that the sum is
.
-
-
-
- Favorable cases: The favorable cases are the following
:

- Favorable cases: The favorable cases are the following
-
-
-
- Possible cases: To find the possible cases we must calculate variations with repetition of
elements taken
at a time:
.
- Possible cases: To find the possible cases we must calculate variations with repetition of
Thus, our probability that the dice sum to
is:
.
2. The probability that the number obtained is even.
-
- Possible cases: From the previous part we know that the possible cases are
.
- Possible cases: From the previous part we know that the possible cases are
-
- Favorable cases: The number of favorable cases, where the sum is even, is half the possible cases, since the sum of two even numbers is even and the sum of two odd numbers is even, therefore the favorable cases are
.
- Favorable cases: The number of favorable cases, where the sum is even, is half the possible cases, since the sum of two even numbers is even and the sum of two odd numbers is even, therefore the favorable cases are
Given the above, the probability that the sum is even is:
.
3. The probability that the number obtained is a multiple of three.
-
- Favorable cases: The favorable cases are the following
:


-
- Possible cases: From previous parts we know that the possible cases are
.
- Possible cases: From previous parts we know that the possible cases are
Thus, our probability that the dice sum to a multiple of
is:
. -
- Favorable cases: The favorable cases are the following
Three dice are rolled. Find the probability that:
1. All show a 6.
2. The points obtained sum to
.
1. All show a 6.
-
- Favorable cases: We have only one favorable case.
-
- Possible cases: To find the possible cases we must calculate variations with repetition of
elements taken
at a time:
.
- Possible cases: To find the possible cases we must calculate variations with repetition of
Thus, our probability that all dice show
is:
.
2. The points obtained sum to
.
- Favorable cases: The favorable cases are the following
:

-
- Possible cases: From the previous part we know that the possible cases are
.
- Possible cases: From the previous part we know that the possible cases are
Thus, our probability that the dice sum to
is:
. -
- Favorable cases: The favorable cases are the following
Find the probability of picking up a domino tile and obtaining a number of points greater than
or that is a multiple of
.
The event of domino tiles where a number of points greater than
is obtained is given by:

The event of domino tiles where a number of points that is a multiple of
is obtained is given by:

Therefore, our final event to consider is
. Furthermore, the domino set consists of
tiles, therefore, the probability is given by:

Find the probability that when rolling a dice, the result is:
1. An even number.
2. A multiple of three.
3. Greater than four.
1. An even number.
-
-
-
- Favorable cases: The favorable cases are the following
:

- Favorable cases: The favorable cases are the following
-
-
-
- Possible cases: Since it is a 6-sided die, we have
possible cases.
- Possible cases: Since it is a 6-sided die, we have
Given the above, we have that the probability is:
.
2. A multiple of three.
-
- Favorable cases: The favorable cases are the following
:

- Favorable cases: The favorable cases are the following
-
- Possible cases: Since it is a 6-sided die, we have
possible cases.
- Possible cases: Since it is a 6-sided die, we have
Given the above, we have that the probability is:
.
3. Greater than four.
-
- Favorable cases: The favorable cases are the following
:

- Favorable cases: The favorable cases are the following
-
- Possible cases: Since it is a 6-sided die, we have
possible cases.
- Possible cases: Since it is a 6-sided die, we have
Given the above, we have that the probability is:
.
Find the probability that when tossing two coins, the result is:
1. Two heads.
2. Two tails.
3. One head and one tail.
1. Two heads.

These are independent events, therefore, since the probability that each coin shows heads is
, we have:

2. Two tails.

Like the previous part, these are independent events, therefore, since the probability that each coin shows tails is
, we have:

3. One head and one tail.

The probability of getting one head and one tail is the probability of obtaining the event
. Furthermore, as in previous parts, these are independent events, therefore, since the probability that each coin shows tails or heads is
, we have:

An envelope contains
slips of paper,
have a car drawn on them and the rest are blank. Find the probability of drawing at least one slip with a car drawing:
1. If one slip is drawn.
2. If two slips are drawn.
3. If three slips are drawn.
1. If one slip is drawn.
We have
favorable cases and
possible cases, therefore:
.
2. If two slips are drawn.
We have that the probability of drawing
slips where at least one has a car is equal to
minus the probability that when drawing
slips both are blank. Therefore:

3. If three slips are drawn.
We have that the probability of drawing
slips where at least one has a car is equal to
minus the probability that when drawing
slips all are blank. Therefore:

Students
and
have probabilities
and
respectively of failing an exam. The probability that they both fail the exam simultaneously is
. Determine the probability that at least one of the two students fails the exam.
Note that these are compatible events because
. Therefore:

Two brothers go hunting. The first one kills an average of
pieces every
shots and the second
piece every
shots. If both shoot at the same time at the same piece, what is the probability that they kill it?
First let's calculate the probability that both kill a piece. This is:

Note that, given the above, the events are compatible. Therefore:

A class consists of
men and
women; half the men and half the women have brown eyes. Determine the probability that a randomly chosen person is a man or has brown eyes.
| Male | Female | Total | |
|---|---|---|---|
| Brown eyes | 5 | 10 | 15 |
| Total | 10 | 20 | 30 |
Given our table above, we have that the probability is:

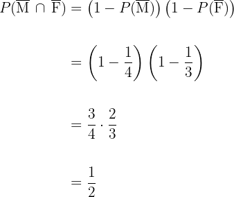
The probability that a man lives
additional years is
and the probability that his wife lives
additional years is
. Calculate the probability:
1. That both live
additional years.
2. That the man lives
additional years and his wife does not.
3. That both die before
additional years.
1. That both live
additional years.
First, note that these are independent events, therefore:

2. That the man lives
additional years and the wife does not.

3. That both die before
additional years.

Remember that at Superprof we help you find your private math tutors. If you prefer, you can also opt for an online math tutor.
Summarize with AI:
