Welcome to our section dedicated to solving problems using the integration by substitution method. This approach, also known as change of variable, is a key tool in the world of integral calculus that will allow you to efficiently tackle a wide range of functions.
We will guide you through solved problems that illustrate how to choose appropriate substitutions to simplify more complex expressions. Each example will include a step-by-step description of the strategy used, from selecting the substitution to applying the chain rule and final evaluation.
The integration by substitution technique is essential for tackling challenging integrals, and mastering it will open the doors to efficiently solving a variety of mathematical problems. Join us on this educational journey where we will explore the elegance and usefulness of integration by substitution, and where you will develop the necessary skills to approach integration problems with confidence.

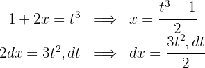
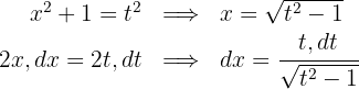
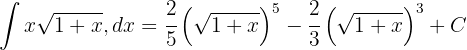
1. We make the substitution and calculate its differential:
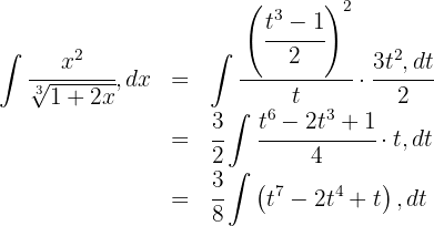
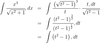
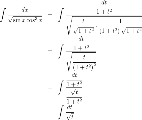
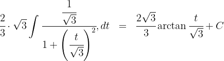
2. We substitute into the integral and simplify:
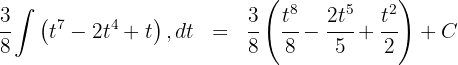
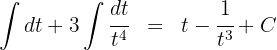
3. We solve the resulting integral:
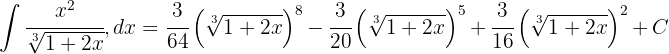
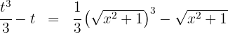
4. We return to the original variable; to do this we use
:
Thus, the solution in terms of the original variable is:

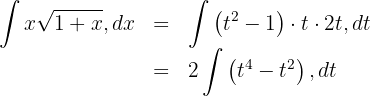
1. We make the substitution and calculate its differential:

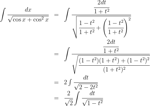
2. We substitute into the integral and simplify:

3. We solve the resulting integral:

4. We return to the original variable; to do this we use
:

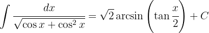
Thus, the solution in terms of the original variable is:


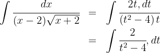
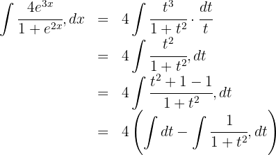
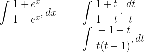
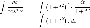
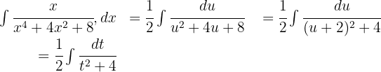
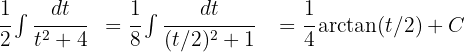
1. We make the substitution and calculate its differential:

2. We substitute into the integral and simplify:

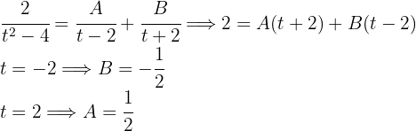
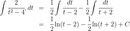
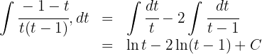
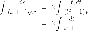
3. We solve the resulting integral using partial fractions:

The integral is:

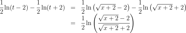
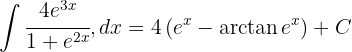
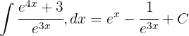
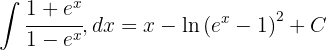
4. We return to the original variable; to do this we use
:

Thus, the solution in terms of the original variable is:


1. We make the substitution and calculate its differential:

2. We substitute into the integral and simplify:

3. We solve the resulting integral:

4. We return to the original variable; to do this we use
:

Thus, the solution in terms of the original variable is:


1. We make the substitution and calculate its differential:

2. We substitute into the integral and simplify:

3. We solve the resulting integral:

4. We return to the original variable; to do this we use
:

Thus, the solution in terms of the original variable is:


1. We make the substitution and calculate its differential:

2. We substitute into the integral and simplify:

3. We solve the resulting integral:

4. We return to the original variable; to do this we use
:

Thus, the solution in terms of the original variable is:


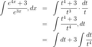
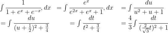
1. We make the substitution and calculate its differential:

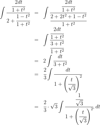
2. We substitute into the integral and simplify:

3. We solve the resulting integral using partial fractions:

The integral is:

4. We return to the original variable; to do this we use
:

Thus, the solution in terms of the original variable is:


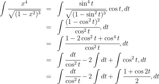
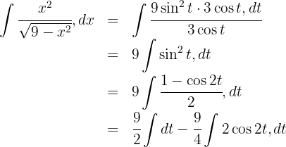
1. We make the substitution and calculate its differential:


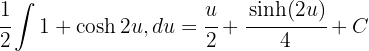
2. We substitute into the integral and to simplify we use trigonometric identities:

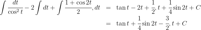
3. We solve the resulting integrals:

4. We return to the original variable; to do this we solve for
in the initial substitution:

We calculate for the sine and cosine of
:


Thus, the result is expressed in the variable
as:


1. We make the substitution and calculate its differential:

2. We substitute into the integral and simplify:

3. We solve the resulting integral:

4. We return to the original variable; to do this we use
:

Thus, the solution in terms of the original variable is:


1. We make the substitution and calculate its differential:


2. We substitute into the integral and to simplify we use trigonometric identities:

3. We solve the resulting integrals:

4. We return to the original variable; to do this we solve for
in the initial substitution:

We calculate for the sine and cosine of
:


Thus, the result is expressed in the variable
as:


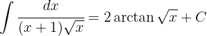
1. We make the substitution and calculate its differential:


2. We substitute into the integral and simplify:

3. We solve the resulting integrals:

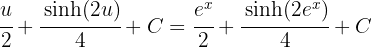
4. We return to the original variable:


1. We make the substitution and calculate its differential:


2. We substitute into the integral and simplify:

3. We solve the resulting integrals:

4. We return to the original variable:


1. We make the substitution and calculate its differential:


2. We substitute into the integral and simplify:

3. We solve the resulting integrals:

4. We return to the original variable:


1. We make the substitution and calculate its differential:


2. We substitute into the integral and simplify:

3. We solve the resulting integrals:

4. We return to the original variable:


1. We make the substitution and calculate its differential:


2. We substitute into the integral and simplify:

3. We solve the resulting integrals:

4. We return to the original variable:


1. We make the substitution and calculate its differential:

2. We substitute into the integral and simplify:

3. We solve the resulting integral:

4. We return to the original variable:


1. We make the substitution and calculate its differential:

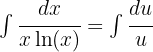
2. We substitute into the integral and simplify, using:

3. We solve the resulting integral:

4. We return to the original variable:


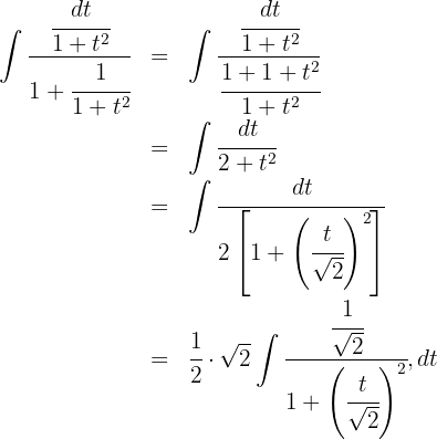
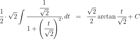
1. We make the substitution and calculate its differential:

2. We substitute into the integral and simplify:

3. We solve the resulting integral:

4. We return to the original variable using
:


1. We make the substitution and calculate its differential:

2. We substitute into the integral and simplify:

3. We solve the resulting integral:

4. We return to the original variable using
:


1. We make the substitution and calculate its differential:

2. We substitute into the integral and simplify:

3. We return to the original variable using
:

Summarize with AI:
