First Thales' Theorem
If any two lines are cut by several parallel lines, the segments determined on one of the lines are proportional to the corresponding segments on the other.

Examples
1 Lines
and
are parallel. Find the length of
.

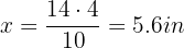
Solution:
Applying Thales' theorem, we have:
2 Lines
are parallel. Can we confirm that
is parallel to lines
and
?

Solution:
Yes, because Thales' theorem is satisfied, since:
Second Thales' Theorem
Given a triangle
, if a segment
is drawn parallel to one of the sides of the triangle, another triangle
is obtained, whose sides are proportional to those of triangle
.

Example
1 Find the measurements of segments
and
.

Applications of Thales' Theorem
Thales' theorem is used to divide a segment into several equal parts.
Example
Divide segment
into
equal parts.
1 Draw a ray originating from endpoint
of the segment.

2 Taking any measurement as a unit, mark
units of measurement on the ray starting from
.

3 Through each of the divisions on the ray, draw lines parallel to the segment that connects
with the last division on the ray. The points obtained on segment
determine the
equal parts into which it is divided.

Summarize with AI:








