Welcome to the fascinating world of uniformly accelerated rectilinear motion (UARM)! In this set of exercises, we will explore one of the fundamental concepts of kinematics, where objects move along a straight line with constant acceleration.
Through these exercises, we will deepen our understanding of the equations and key concepts that describe UARM, such as position, velocity, and acceleration as functions of time. These problems will challenge you to apply specific formulas, understand mathematical relationships, and visualize the behavior of objects in motion.
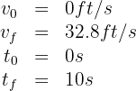
A particle starts from rest and moves in a straight line, accelerating until it reaches a velocity of 32.8 feet per second in a time of 10 seconds. What is the average acceleration of the particle? If the acceleration is constant, what is its value?
1. We identify the known data:

2. We substitute into the average acceleration equation:

Thus, the average acceleration is
.
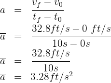
3. To find the constant acceleration, we substitute into the constant acceleration equation:

Thus, the acceleration is
, which equals the average acceleration.
A cyclist moves in a straight line with a velocity of
. If he increases his velocity with an acceleration of
for 10 seconds, what is his displacement in the 10 seconds?
1. We identify the known data:

2. We verify that we have the same units. We note that the initial velocity is given in miles per hour, so we convert it to feet per second:

3. We recall that displacement equals the difference between final and initial position
. Since we know the acceleration which is constant, the initial velocity, and the time elapsed, we use the formula:

4. We solve the formula for displacement and substitute the known data into the equation:

Thus, the cyclist travels
.
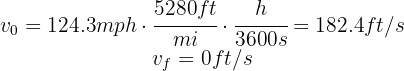
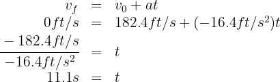
A car is about to enter a school zone, so it decreases its velocity from
to
. If it takes 5 seconds to do so, what is its deceleration?
1. We identify the known data:

2. We verify that we have the same units. We note that the initial and final velocities are given in miles per hour, so we convert them to feet per second:

3. We substitute into the constant acceleration formula:

Thus, the car has a deceleration of
.
A high-speed train travels at
and decelerates constantly at a rate of
until it stops. How long does it take to do so?
1. Since the train decelerates constantly, this is a uniformly accelerated rectilinear motion problem.
2. We identify the known data:

3. We verify that we have the same units. We note that the initial and final velocities are given in miles per hour and the acceleration in feet per second squared, so we convert the velocities to feet per second:

4. We substitute into the constant acceleration formula:

Thus, the train takes
to stop.
The velocity of a car with respect to time is represented in the following graph:

If velocity is given in miles per hour and time in hours, what is the car's acceleration and what distance does it travel in 2 hours?
1. From the graph we observe that it is a straight line, so this is a constant acceleration problem.
2. Since the acceleration is constant, it equals the slope of the line:

3. To find the distance traveled in 2 hours and knowing that the acceleration is constant, we use the formula:

4. We substitute the data from the graph:

Thus, the car travels
in 2 hours.
The velocity function in feet per second of a person is represented in the following graph:

If time is measured in seconds, what is the person's acceleration in the different time intervals?
1. From the graph we observe that the velocity function with respect to time consists of straight lines in intervals, so this is a uniformly accelerated rectilinear motion problem and the acceleration equals the slope of the line in those intervals.
2. In the time interval from 0 to 2 seconds, the constant acceleration is:

3. In the interval from 2 to 6 seconds, the velocity remains constant, so the acceleration is zero.
4. In the time interval from 6 to 10 seconds, the constant acceleration is negative:

Two particles are at the same position. The first moves at a constant velocity of
and after advancing 16.4 ft, the second begins to move from rest with an acceleration of
. How long will it take the second particle to catch up with the first?
1. We denote by
the distance traveled by the first particle until it meets the second, so the second particle travels
in the same time
.

2. Since the first particle moves with constant velocity, we have:

3. Since the second particle moves with constant acceleration and starts from rest, we have:

4. We substitute the value of
from the first equation into the second and solve:

5. We solve using the quadratic formula and obtain:

6. We take the positive time, since the negative one doesn't make sense in this problem. Thus, both particles meet at
.
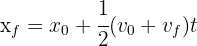
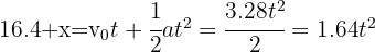
A car with a velocity of
decelerates at a rate of
until its velocity equals
. What is the car's displacement?
1. We identify the known data:

2. We verify that we have the same units. We note that the initial and final velocities are given in miles per hour, so we convert them to feet per second:

3. We use the formula for constant acceleration:

4. We substitute the data and solve for displacement
:

Thus, the car travels 97.5 feet.
A person walking at
passes through point A; 5 minutes later a second person passes through point A at
. If both people move with constant accelerations of
respectively, how much time will have elapsed until they meet?
1. We identify the known data:

2. We verify that we have the same units. We note that the initial velocities are given in miles per hour, so we convert them to feet per second. We also convert minutes to seconds:

3. Since both move with constant acceleration, we use the formula:

4. If
is the time it takes the second person to catch up with the first, the first will have used 300 seconds more than the second, so we have for the second person:

The first person is at the same position at time
:

5. We equate the displacements
:

6. We solve using the quadratic formula to obtain:

Thus, both people meet after 404.6 seconds, which is the same as 6.74 minutes.
Two particles are separated by 32.8 feet. If both start from rest with accelerations of
and
, how much time will have elapsed until they meet?
1. It's convenient to represent the problem graphically. To do this we must establish the direction of motion, with the positive direction being that of the first particle and negative that of the second, so that both are at opposite ends at time zero. The distance traveled by the first particle is
and that of the second is
.

2. Since both move with constant acceleration, we use the formula:

The displacement of the first particle is:

The displacement of the second particle is, using the direction of acceleration:

3. Since the time
traveled by both particles until they meet is the same, we have:

4. Solving, we obtain
. We substitute into the time function to obtain:

Thus, both particles meet at 5 seconds.
Summarize with AI:
