Statement of the Pythagorean Theorem
The Pythagorean Theorem establishes the following:
In every right triangle, the square of the hypotenuse is equal to the sum of the squares of the legs.

From the above statement, the following formula is derived with which we can calculate the magnitude of each of the sides of a right triangle:
Applications of the Pythagorean Theorem
Calculating the Hypotenuse
1. Knowing the two legs, we can calculate the hypotenuse; we just need to solve for the variable
from the equation.
We do this simply by taking the square root:
Example: The legs of a right triangle measure 10 ft and 13 ft respectively. How long is the hypotenuse?

In this case we have
,
and we must find the value of
.
Substituting into the previous formula:
Therefore, the hypotenuse measures 16.4 ft.
Calculating a Leg
2. Knowing the hypotenuse and one leg, we can calculate the other leg.
From our initial equation
, we can solve for the value of one of the legs and we obtain the following for leg
:
and for leg
:
Example: The hypotenuse of a right triangle measures 16.4 ft and one of its legs measures 10 ft. How long is the other leg?

According to the figure, we have that leg
measures 10 ft, the hypotenuse measures 16.4 ft, and we need to find leg
. Thus, using the formula to calculate legs:
Therefore, leg
measures 13 ft.
Classifying Right Triangles
3. Knowing the sides of a triangle, we can determine if it is a right triangle or not.
For a triangle to be a right triangle, the square of the longest side must equal the sum of the squares of the two shorter sides.
Example: Determine if the following triangle is a right triangle with sides 10 ft (3m), 13 ft (4m), and 16.4 ft (5m).

Note that the longest side of this triangle has length 16.4 ft. Following the previous indication, we must verify the following equality:


Since we obtain the same result on both sides of the equality, we can conclude that the triangle is a right triangle.
Exercises
An isosceles right triangle has a hypotenuse 32.8 ft long. What is the length of its legs?

Since the triangle is right and isosceles, then its two legs are equal. We apply the Pythagorean Theorem for the triangle with hypotenuse
and side
:

Solving algebraically, we obtain:

Thus, the legs measure
.
A 32.8 ft ladder is leaning against a wall. The foot of the ladder is 19.7 ft from the wall. What height does the ladder reach on the wall?

The ladder, the wall, and the floor form a right triangle, in which we can take the length of the ladder as the hypotenuse and the distance from the foot of the ladder to the wall as one of the legs. Then
and
.
Our objective is then to calculate the height of the ladder on the wall, that is, to calculate the remaining leg. According to our previous formulas and the figure, we have:

Find the area of the equilateral triangle:
  
First we draw the height of the equilateral triangle. This height divides the triangle into two right triangles with legs
(the height of the equilateral triangle),
(half of one of the sides of the triangle), and finally with hypotenuse
(one of the sides of the initial triangle). In this way, to find the height we only need to apply our previous formula to find legs of right triangles, which gives us:


Since the area of a triangle is obtained through the formula:

Now observe that the base of the triangle is 3.9 in and the height is 3.3 in.
Then, substituting into the area formula it follows that:

Find the diagonal of the square:

The diagonal of the square whose sides measure 2 in divides this figure into two right triangles, where the diagonal
coincides with the hypotenuse of either of these triangles. That is, we must find the hypotenuse of a right triangle with legs equal to 2 in.
For this we will use the formula for the hypotenuse:


Finally, the diagonal measures
.
Find the diagonal of the rectangle:

Similar to the previous exercise, the diagonal
of this rectangle divides it into two right triangles with legs of 2.4 in and 3.9 in, and the diagonal coincides with the hypotenuse of these triangles. So again we must use the formula to calculate the hypotenuse:


Therefore, the diagonal has length
.
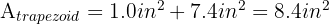
Find the perimeter and area of the right trapezoid:

The perimeter of the trapezoid is the sum of the lengths of its sides. From the figure it follows that the top side of the trapezoid measures 3.18 in, the bottom side measures 3.9 in, and the height of the trapezoid measures 2.4 in. To find the diagonal side of the trapezoid, which we will call
, we must consider the right triangle with vertical side 2.4 in, horizontal side 0.8 in, and hypotenuse
. Since we need to calculate the value of
, we will use the formula to calculate the hypotenuse, so we have:


Finally we can calculate the perimeter, which we know is equal to the sum:

To obtain the area, we must observe that the trapezoid is made up of a right triangle and a rectangle, so its area will be equal to the sum of the areas of the triangle and the rectangle. That is:

The area of the rectangle is simply the product of its base times its height, then
. For the area of the triangle we have:


Therefore:

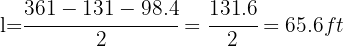
The perimeter of an isosceles trapezoid is 361 ft, the bases measure 131 ft and 98.4 ft respectively. Calculate the non-parallel sides and the area.

The perimeter of the trapezoid is equal to the sum of the lengths of its sides. Then we have the following equality:

where
is the value of the non-parallel side. Solving for
from the previous equation, we have:

In this way we have solved the first part of the problem.
Remember that the area of the trapezoid is equal to the sum of the bases, multiplied by the height, and then this is divided by two. So we must calculate the height of the trapezoid, which we will call
.
From the figure we can consider the right triangle with legs 16.4 ft,
, and hypotenuse
. Then, to find the value of
, we will use the formula to calculate the legs:

Now we can conclude by calculating the area of the trapezoid:

Find the area of the regular pentagon:

We have that the sides of the regular pentagon measure 2.4 in. Since the area of the pentagon is equal to half the perimeter times the value of the apothem, then we must find the value of the apothem. We will call the apothem
, as illustrated in the figure. To calculate
, let's consider the triangle with legs
, 1.2 in, and hypotenuse 2 in. And we use the formula to calculate legs, then:


The perimeter value of the pentagon is:

Finally, we can calculate the area of the pentagon:

Calculate the area of a square inscribed in a circle with circumference 61.8 ft.

Since the square is inscribed in a circle, we can divide it into 4 right triangles with legs equal to the radius of the circle,
, and hypotenuse
.
First, we find the radius from the circumference:
, so
.
In this way we can calculate the side of the square using the formula to calculate hypotenuses:


Therefore, since the area of the square is
, it follows that it is equal to
.
In a circle, a chord measures 18.9 in and is 2.8 in from the center. Calculate the area of the circle.
Â

To calculate the area of the circle we must first find its radius. Since the chord of the circle is 2.8 in from the center, we can form a right triangle with legs 2.8 in, half the chord (9.4 in), and hypotenuse equal to the radius of the circle,
. In this way, to find the radius we must use the formula to calculate hypotenuses:


Thus, the area of the circle is:


Summarize with AI:








