Before jumping into the exercises, let's review the basics.
What Is a Quadratic Function?
A quadratic function is a second-degree polynomial function with the form:
, where
,
, and
are real constants, and
.
The graph of a quadratic function is one of the conic sections (circle, ellipse, parabola, or hyperbola), but in this section, we’ll focus only on parabolas.
The graph of
— the simplest quadratic function — reveals several key features of a parabola. For instance,
, and
for any other real value of
. This means the function has a minimum at the point
, which is called the vertex of the parabola.
- If
, the parabola opens upward (the vertex is at the bottom). - If
, the parabola opens downward (the vertex is at the top).
How Do You Solve and Graph a Quadratic Function?
There are two main methods to solve and graph a quadratic function. Below are the steps for each:
✅ Vertex Formula Method
- 1 - Identify the values of
,
, and
. - 2 - Find the
-value of the vertex using the vertex formula. - 3 - Find the
-value by plugging
into the function. - 4 - Write the vertex coordinates as
.
✅ Completing the Square Method
- 1 - Write out the equation.
- 2 - Divide all terms by the coefficient of
. - 3 - Move the constant term to the right-hand side.
- 4 - Complete the square on the left-hand side.
- 5 - Factor the left-hand side.
- 6 - Solve and write the vertex coordinates
.
Proposed Exercises
Solve and Graph the Following Quadratic Functions

1 Vertex
We apply the vertex formula:

So, the vertex is
.
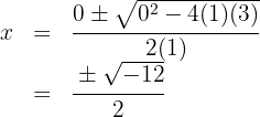
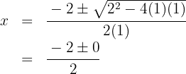
2 X-axis intercepts
We set the function equal to zero and calculate the solutions:

Which has no real solutions.
So, there are no intersections with the
axis.
3 Y-axis intercept
So, the intersection with the
axis is
.
4 With the above information, the graphical representation is:


1 Vertex
We apply the vertex formula:

So, the vertex is
.
2 X-axis intercepts
We set the function equal to zero and calculate the solutions:

So, the intersections with the
axis are
.
3 Y-axis intercept
So, the intersection with the
axis is
.
4 With the above information, the graphical representation is:


1 Vertex
We apply the vertex formula:

So, the vertex is
.
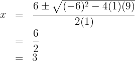
2 X-axis intercepts
We set the function equal to zero and calculate the solutions:

We get the solutions 
So, the intersections with the
axis are
and
.
3 Y-axis intercept
So, the intersection with the
axis is
.
4 With the above information, the graphical representation is:


1 Vertex
We apply the vertex formula:

So, the vertex is
.
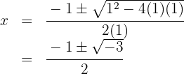
2 X-axis intercepts
We set the function equal to zero and calculate the solutions:

We get the solution 
So, the intersection with the
axis is
.
3 Y-axis intercept
So, the intersection with the
axis is
.
4 With the above information, the graphical representation is:


1 Vertex
We apply the vertex formula:

So, the vertex is
.
2 X-axis intercepts
We set the function equal to zero and calculate the solutions:

Since the discriminant is negative,
, there are no intersections with the
axis.
3 Y-axis intercept
So, the intersection with the
axis is
.
4 With the above information, the graphical representation is:

Find the vertex and the equation of the axis of symmetry for the following parabolas
1
;
2
;
3
;
4
;
5
;
6
;
7
;
8
;
9
;
10
The vertex of the parabola
is given by
, and the axis of symmetry is
. For the parabola
, the vertex is given by 
1


2


3


4


5


6


7


8


9


10


Without graphing, indicate how many times the following parabolas intersect the x-axis
1
;
2
;
3
;
4
;
5
.
We apply the discriminant
, and based on its sign, determine whether the parabolas intersect the x-axis twice, once, or not at all.
1. 
We calculate the discriminant:

We calculate the discriminant:

Since the discriminant is positive, there are two points of intersection.
3. 
We calculate the discriminant:

We calculate the discriminant:

Since the discriminant is zero, there is one point of intersection.
5. 
We calculate the discriminant:

Since the discriminant is positive, there are two points of intersection.
A quadratic function has the form
and passes through the point
. Find the value of
.
1 We substitute the point into the function

A quadratic function has the form
and passes through the point
. Find the value of
.
1 We substitute the point into the function:
2 We solve for
:
A quadratic function has the form
and passes through the points
, and
. Find
, and
.
1 We substitute each point into
:
2 We obtain the following system of equations:
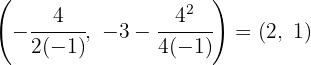
3 Solving the system, we get 
A parabola has its vertex at the point
and passes through the point
. Find its equation.
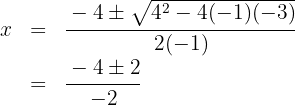
1 The equation is written in the form 
2 We substitute the values of the vertex:
3 We substitute the point
and solve for
:
4 We substitute the value of
:
A parabola has its vertex at the point
and passes through the point
. Find its equation.
1 The equation is written in the form 
2 We substitute the values of the vertex:
3 We substitute the point
and solve for
:
4 We substitute the value of
and expand:
Starting from the graph of the function
, represent:
1
;
2
;
3
;
4
;
5
;
6
;
7
;
8
;
9
;
10
;
We will use the graph of
.

1
We reflect it over the x-axis and shift the graph of
so the vertex is at 

2
We reflect it over the x-axis and shift the graph of
so the vertex is at 

3
We reflect it over the x-axis and shift the graph of
so the vertex is at 

4
We reflect it over the x-axis and shift the graph of
so the vertex is at 

5
We shift the graph of
so the vertex is at 

6
We shift the graph of
so the vertex is at 

7
We shift the graph of
so the vertex is at 

8
We shift the graph of
so the vertex is at 

9
We shift the graph of
so the vertex is at 

10
We shift the graph of
so the vertex is at 

Find the equation of the parabola with focus
and vertex
.
1 The focus is above the vertex, so the parabola opens upward.
2 We calculate the distance from the focus to the vertex, which is 3.
3 We use the formula:
Where
equals the reciprocal of four times the distance from the focus to the vertex. So, 
4 Then, the equation of the parabola is:
Find the equation of the parabola with focus
and vertex
.
1 The focus is below the vertex, so the parabola opens downward.
2 We calculate the distance from the focus to the vertex, which is 2.
3 We use the formula:
Where
equals the reciprocal of four times the distance from the focus to the vertex. So, 
4 Then, the equation of the parabola is:
Summarize with AI:








