Definition of Asymptotes
Asymptotes are lines that the function approaches indefinitely.
There are three types of asymptotes:
1. Horizontal
2. Vertical
3. Oblique
Horizontal Asymptotes
If either of the following two conditions is satisfied:
then the line
is a horizontal asymptote for the graph of 
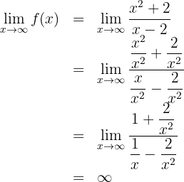
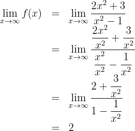
Example: Calculate the horizontal asymptotes of the function 
We calculate the limit as
approaches
; to do this we divide each term of the numerator and denominator by
:
Thus, the function has a horizontal asymptote 
Vertical Asymptotes
If either of the following two conditions is satisfied:
then the line
is a vertical asymptote for the graph of 
Note that
are the points that do not belong to the domain of the function (in rational functions).
Example: Calculate the vertical asymptotes of the function 
The domain of the function is 
We calculate the lateral limits as
approaches
:
Thus, the function has a vertical asymptote 
We calculate the lateral limits as
approaches
:
Thus, the function has another vertical asymptote 
The above can be observed from the graph of the function.

Oblique Asymptotes
We will only find oblique asymptotes when there are no horizontal asymptotes.
For there to be an oblique asymptote, it must be satisfied that the degree of the numerator is exactly one degree higher than that of the denominator; then the asymptote is given by:
where
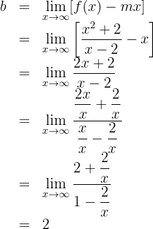
Example: Calculate the asymptotes of the function 
It is satisfied that the degree of the numerator is exactly one degree higher than that of the denominator; we only need to verify if horizontal asymptotes exist.
We calculate the limit as
approaches
; to do this we divide each term of the numerator and denominator by
:
Thus, the function has no horizontal asymptotes.
To see if it has oblique asymptotes, we calculate:
Thus, the oblique asymptote is 
Note that the domain of the function is
and
is a vertical asymptote.

Summarize with AI:








