Integration by Parts Formula
Unlike derivatives, there is no formula that can integrate any product of functions.
The closest thing we have to a rule for integrating products of functions is integration by parts. Interestingly, it is based on the formula for differentiating a product of functions.
However, integration by parts transforms an integral of a product into another integral. This formula does not work for integrating all products of functions.
The integration by parts formula is:

Notice that we have to differentiate
and integrate
, so it will be convenient for the integral of
to be simple.
In general, polynomial, logarithmic, and arctangent functions are chosen as
. Meanwhile, exponential, sine, and cosine functions are chosen as
.
Derivation of the Formula
Suppose we have the functions
and
. Then their derivative is given by:

If we integrate both sides of the equation, we obtain:

Then, if we move
to the left side, we obtain:

which is the formula we were looking for.
Proposed Exercises

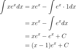
We have a product between the function
and
. As mentioned previously, in this type of case we choose
and
.
We differentiate
:

We integrate
:

So the integral becomes:

Thus,


We have a product between the function
and
. In this type of case we choose
and
.
We differentiate
:

We integrate
:

So the integral becomes:

Thus,

 
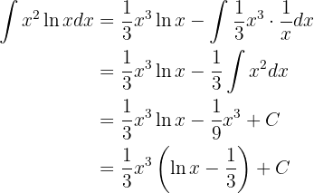
We have a product between the function
and
. In general, both functions are usually taken as
; however, in this type of case the logarithm takes preference and we choose
and
.
We differentiate
(this is the reason we chose the logarithm):

We integrate
:

So the integral becomes:

Thus,


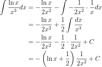
We have a product between the function
and
. Again, in this type of case we choose
and
(the logarithm function is always chosen as
).
We differentiate
:

We integrate
:

So the integral becomes:

Thus,

Summarize with AI:








