What Is an Integral and What Is It Used For?
Primarily, the integral is known as the inverse operation of the derivative, which has the main function of calculating the area under a curve. It is widely related to the study of infinitesimal calculus.
Interesting fact:
Have you noticed that when solving an integral, we always add a constant value?
For example:
If we think about it, this makes a lot of sense, because the derivative of any constant is
, which means that when we differentiate a constant, it will disappear. Logically, when we apply the opposite operation to the derivative, that is, when we integrate the value
, we will have a constant as a result.
About Methods for Solving Integrals
Just as with derivatives, integrals have 2 general methods:
1 Through the concept of a limit
2 Through formulas for specific cases
It could be said that for every way to solve a derivative, there is a way to solve an integral.
Example:
Given the function 
Its derivative is
and the integral of the latter would be 
Proposed Exercises on Integration
Integrate the following functions:

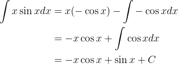
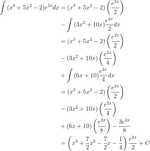
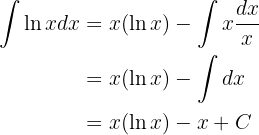
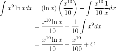
We will integrate this function "by parts."
Recall that this tells us that
Let's decide which part of the function will be
and which will be
. In our case we will take them as follows:
and
Substituting these values into the integration by parts formula we have:

We will integrate this function "by parts."
Recall that this tells us that
Let's decide which part of the function will be
and which will be
. In our case we will take them as follows:
and
Substituting these values into the integration by parts formula we have:

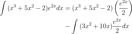
We will integrate this function "by parts."
Recall that this tells us that

Let's decide which part of the function will be
and which will be
. In our case we will take them as follows:

and

Substituting these values into the integration by parts formula we have:

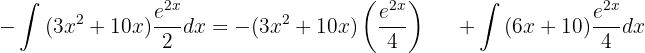
We will apply integration by parts again to integrate

in this case
and
will be:

and


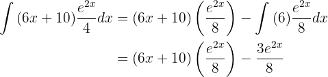
Finally, we will apply integration by parts again to integrate

in this case
and
will be:

and


Substituting all this into our first integral we have:


We will integrate this function "by parts."
Recall that this tells us that

Let's decide which part of the function will be
and which will be
. In our case we will take them as follows:

and

Substituting these values into the integration by parts formula we have:


We will integrate this function "by parts."
Recall that this tells us that

Let's decide which part of the function will be
and which will be
. In our case we will take them as follows:

and

Substituting these values into the integration by parts formula we have:


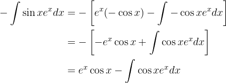
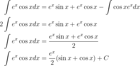
We will integrate this function "by parts."
Recall that this tells us that

Let's decide which part of the function will be
and which will be
. In our case we will take them as follows:

and

Substituting these values into the integration by parts formula we have:

We will apply integration by parts again to integrate

in this case
and
will be:

and


Substituting all this into our first integral we have that the integral we want to calculate appears on the left side and on the right side but with a negative sign, therefore all we need to do is solve for the integral we want to find:


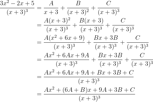
To integrate this function we first need to simplify the function

To simplify it and leave it in an expression that's easy to integrate, we will apply partial fractions. The theory of partial fractions will not be explained in depth; however, we will try to write each step to avoid any confusion.
Since the denominator is a first-order polynomial to the third power, we have that in general our expression can be written as

for certain real numbers
,
, and
. To find the values of these unknowns we must perform the sums and then equate the coefficients of terms of the same degree, that is:

from this it follows that

Therefore, the numerators are equal:

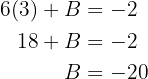
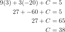
and the coefficients of terms of the same degree are also equal. That is:

From the first equality it is direct that
. Substituting the value of
in the second equality we have:

Substituting the value of
and
in the third equality we have:

Thus, we have that our function is equal to:

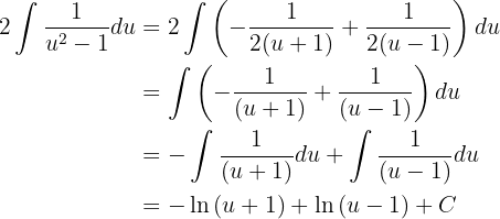
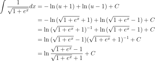
Now yes, let's proceed to integrate. We will use the change of variable method; for this we will take:



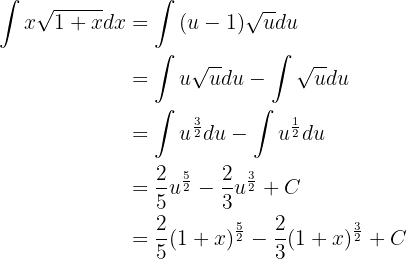
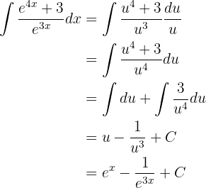
We will integrate using the change of variable method. Let's take:

Note that, in addition,
. Thus, substituting into the original integral:


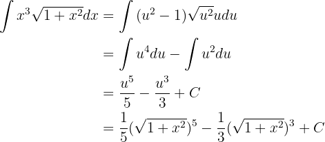
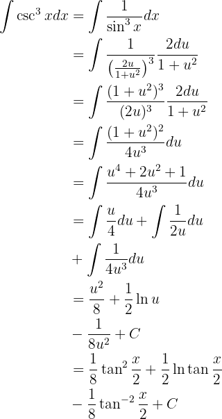
We will integrate using the change of variable method. Let's take:

Note that, in addition,
. Thus, substituting into the original integral:


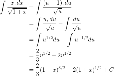
We will integrate using the change of variable method. Let's take:

Note that, in addition,
. Thus, substituting into the original integral:


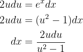
We will integrate using the change of variable method. Let's take:

Now let's solve for the differentials:

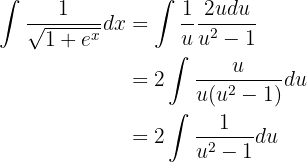
Thus, substituting into the original integral:

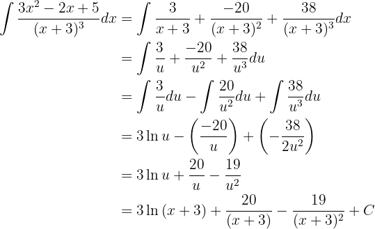
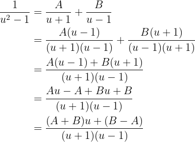
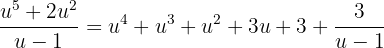
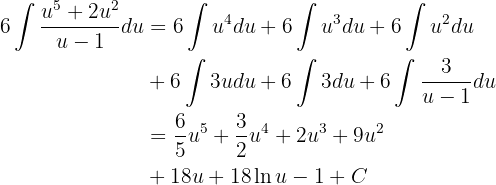
We will apply partial fractions to simplify this fraction and express it as a sum of fractions that's easy to integrate. We have:

Developing the last sum we have:

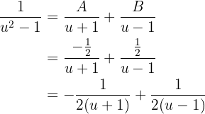
Equating the numerators we have
from which it follows directly that:

Note that from the first equality it follows directly that
, and from the second it follows that
, therefore:

Note that then:

We will substitute this into the integral:

from which it follows that, when substituting the value of
in terms of
, that is,
:


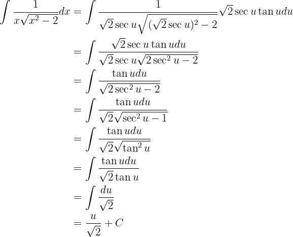
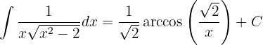
We will integrate by trigonometric substitution. We will take:

Substituting these values into the integral:

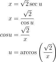
finally, to write this again in terms of
, note that when making the substitution we took
. We will solve for
from here:

substituting we have:


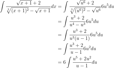
We will integrate using the change of variable method. We will take:

Substituting these values into the integral we obtain:

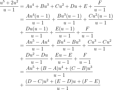
Now let's simplify the expression inside the integral using partial fractions. We have:

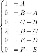
This gives us the following system of equations:

From which it follows that
,
,
,
,
, and
. Thus, our expression is:

Substituting into our integral we obtain:

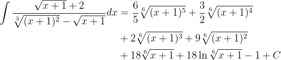
We only need to write it in terms of
. For this, note that
, therefore,
. Substituting we obtain:


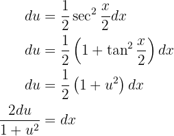
We will integrate using the change of variable method. First note that:

Our change of variable will be:

Differentiating we can see that:

Since in the integral we have
, we must write this function in terms of
to be able to substitute the function in terms of
. Recall the following trigonometric identity:

thus, in short we have:

Substituting into the integral we obtain:


We will integrate using the change of variable method. We will take:

from the differential it follows that
. Now, substituting this into our integral we obtain:

Summarize with AI:








